Following the merger, Cushman & Wakefield established a global Health, Safety,
Security & Environment Leadership (HSSE) team, which is working to bring a
structured and standardized approach towards HSSE tracking and reporting
capabilities. Our current HSSE management system is regionally based, and the
management team will continue to pursue new initiatives and opportunities that
allow for greater program development. Reducing injury and illness rates,
expanding employee training, improving our HSSE management systems, and
continuing to build a culture of EH&S excellence are all priorities for Cushman &
Wakefield as we grow our business.
Cushman & Wakefield supports and seeks effective HSSE consultation with its
workforce and contractors globally. Consultation and communication can take on
many forms. Where we are required by local legislation, we have established
formal HSSE committees. A few examples of consultation mechanisms utilized
are inductions, team meetings, management meetings, town hall
communications, reporting and suggestion tools/processes, and tool box talks.
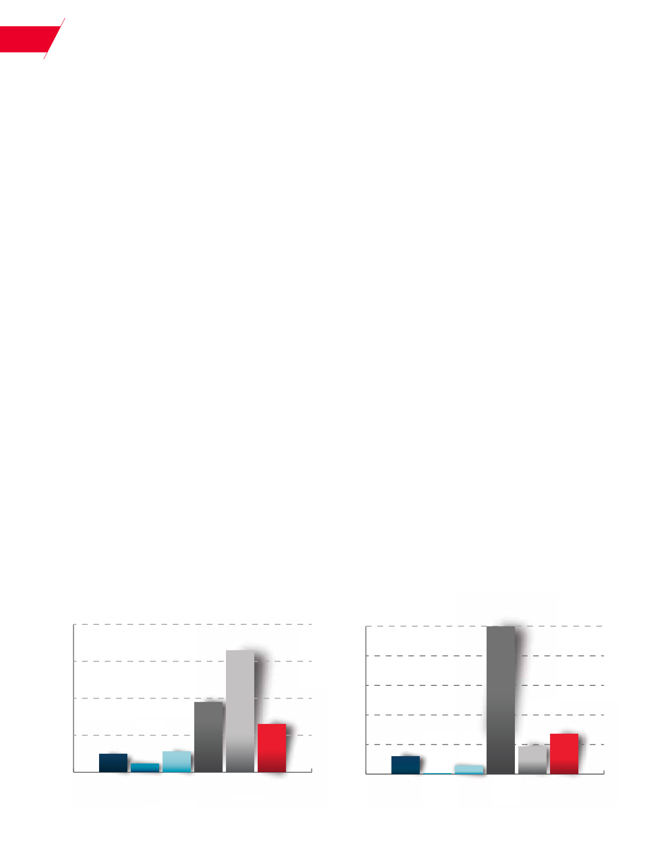
PERFORMANCE METRICS
Employee injury and illness rates are a leading indicator of a company’s
commitment to HSSE excellence. Cushman & Wakefield measures safety
performance using several methods depending upon the operating region, client
requirements, and industry sector.
HEALTH AND SAFETY TRAINING
Cushman & Wakefield legacy companies used a variety of systems to offer
web-based training and education. In 2015, 3,042 employees completed 27,555
online health and safety training courses across all legacy companies. We plan to
consolidate our HSSE web-based training to one global platform that offers more
targeted courses for employees. This overhauled online training platform will
allow for greater customization according to an employee’s level of need and job
function.
0.0
0.5
1.0
1.5
2.0
EMEA Greater
China
APAC US &
Canada
LATAM Total
.25
.12
.28
.95
1.65
.65
Injury Rates: Lost Time Injuries
Per 200,000 hours
0.0
0.3
0.6
0.9
1.2
1.5
EMEA Greater
China
APAC US &
Canada
LATAM Total
.18
.01
.09
1.50
.28
.41
Injury Rates: Injuries Requiring Medical Attention
Per 200,000 Hours
38
EMPLOYEE HEALTH & SAFETY




